-
- Pigment


Products
TECHNICAL DATA SHEET
TDS
Product Name: Solvent Violet G (Solvent Violet 49)
Code: SV49-G Countertype:(CLARIANT)Polysynthren Violet G;(HOECHST)Polysynthren Violet G;
Color Index: 48520 CAS NO.: 205057-15-4 EINECS: --
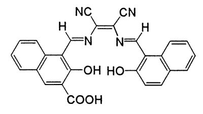
Molecular Formula:C27H14N4O4
Molecular Weight:460.44
Molecular strusture:

Physical and Chemical properties:
|
TEST ITEMS |
SPECIFICATION |
|
APPEARANCE |
VIOLET POWDER |
|
SHADE |
REDDISH |
|
HEAT RESISTANCE |
285 °C min |
|
LIGHT FASTNESS |
6-7 |
|
ACID RESISTANCE |
4-5 |
|
ALKALI RESISTANCE |
4-5 |
|
WATER RESISTANCE |
4-5 |
|
DENSITY |
1.40 g/cm3 |
|
RESIDUE ON 80 MESH |
5.0% max |
|
WATER SOLUBLE |
1.0% max |
|
VOLATITE 105 °C |
1.0% max |
|
TINTING STRENGTH |
100-105 % |
|
WEIGHT METAL TOTAL |
50ppm max |
Use:Colorant for Plastic,Polymer,Fiber,Rubber;Wax,Oil,Lubricant,Fuel,Gasoline,Candle ,Paint ,
Shoe polish,Smoke ,Printing Ink ,Pen ink ,Detergent,Fertilizer,Adhesive
Packing:10,25kg bags with pallets/10,25kg drums
- ink pigment
- paint pigment
- coating pigment
- textile pigment
- plastic pigment
- masterbatch pigment
- fiber pigment
- printing pigment
- flush pigment
- chrome pigment
- titanium dioxide
- oil dye
- wax dye
- wood satin dye
- candle dye
- smoke dye
- jet ink dye
- pen ink dye
- detergent dye
- soap dye
- adhesive dyes
- fertilizer dye
- carbon black
- acid dyes
- vat dyes
- disperse dye
- sulphur dye
- reactive dyes
- direct dyes
- leather dyes
- leather pigment


