-
- Pigment


Products
TECHNICAL DATA SHEET
TDS
Product Name: FAST RED W (PR169)
Code: PR169-W Countertype:CLARIANT,BASF,CIBA;Fanal Pink BKF,PinK 4810,RHODAMINE 6G,
Irgalite Pink FB,Pink D 4830
C.I.NO.: 45160:2
CAS NO.: 12237-63-7
EINECS NO.: 235-469-2
Molecular Weight:433.56
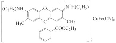
Structural Formula:

Physical and Chemical properties:
|
TEST ITEMS |
SPECIFICATION |
|
APPEARANCE |
RED POWDER |
|
SHADE |
BLUISH |
|
HEAT RESISTANCE |
200°C min |
|
LIGHT FASTNESS |
6 |
|
ACID RESISTANCE |
4 |
|
ALKALI RESISTANCE |
5 |
|
FASTNESS TO BLEEDING |
4 |
|
OIL ABSORPTION |
40-50% |
|
SPECIFIC SURFACE |
28 m2/g |
|
DENSITY |
1.70 g/cm3 |
|
RESIDUE ON 80 MESH |
5.0% max |
|
WATER SOLUBLE |
1.0% max |
|
VOLATITE 105 °C |
1.0% max |
|
TINTING STRENGTH |
100-105 % |
Use: Printing ink,Textile printing
Packing:10,25kg bags with pallets/10,25kg drums
- ink pigment
- paint pigment
- coating pigment
- textile pigment
- plastic pigment
- masterbatch pigment
- fiber pigment
- printing pigment
- flush pigment
- chrome pigment
- titanium dioxide
- oil dye
- wax dye
- wood satin dye
- candle dye
- smoke dye
- jet ink dye
- pen ink dye
- detergent dye
- soap dye
- adhesive dyes
- fertilizer dye
- carbon black
- acid dyes
- vat dyes
- disperse dye
- sulphur dye
- reactive dyes
- direct dyes
- leather dyes
- leather pigment


